[1.1.1.1]paracyclophane類の合成

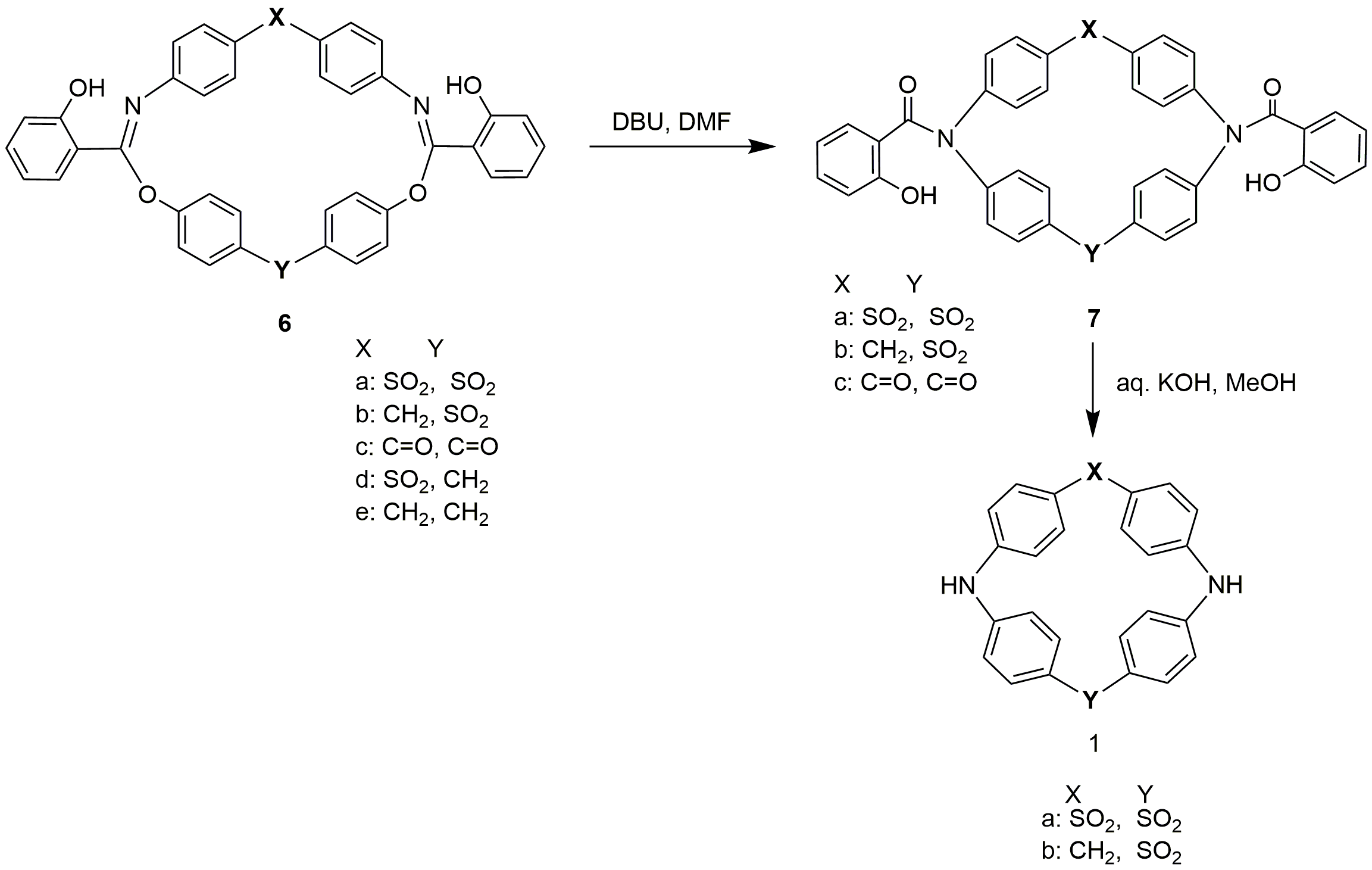
[1.1.1.1]パラシクロファンは分子に強い歪みを持っています。それだけに合成は困難になりますが、今回、Chapman転位反応を用いて簡単に満足のゆく収率で合成することができました。

合成ルート

研究テーマへ

1a1bの構造