アザカリックスアレーンの合成開発
とホスト分子としての性質
![]() |
1:Hexahomotriazacalix[3]arene または Triaza[3.3.3] 2: Tetrahomodiazacalix[4]arene または DIaza[3.1.3.1] 3: Homoazacalix[4]arene または Aza[3.1.1.1] |
|
![]() |
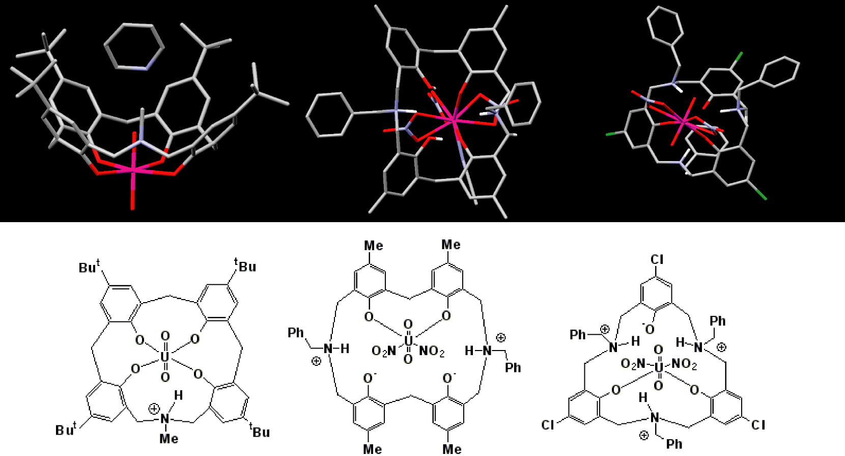
アザカリックスアレーンの特徴は中性付近でもっとも強く金属カチオンを捕捉することである。アルカリ、アルカリ土類カチオンの捕捉能は強くないがランタノイドアクチノイドとは安定な錯体を生成する。 たとえばアザカリックスアレーン1は海水と同じ濃度に設定したウラニウムと塩化ナトリウムの溶液からウラニウムだけを選択的に中性領域において抽出した。 窒素上の側鎖をいろいろに変えることができる。 これにより超分子構造への応用が期待できる。 |

Azacalixarene類のウラニルイオンの錯体の構造です。このほかにもLanthanide錯体の構造も明らかにしました。
France のDr. Pierre Thuery との共同研究による成果です。
![]() |
Triazacalix[3]areneによる模擬海水からの ウラニルイオン抽出実験ではUO22+を選択 的に取り出すことができた。 [Ligand] = 4.9 × 10-4moldm-3
[NaCl] = 0.5 moldm-3
[UO22+] = 10 ppm
|