卒業論文発表 「2-bridge link の p 彩色可能性」 榑松(ペンネーム)

榑松0枚目


私は 2-bridge link L([-2,N]) の p 彩色の階数を求めました。

榑松3枚目


 p 彩色の定義を紹介します。 p を2以上の自然数とする。ある link diagram が次の条件を満たすとき p 彩色されているという。

そして全ての交差点に対して交差点条件の式をたてて得られる連立方程式の解の個数を p 彩色の階数と呼ぶ。
 同じ絡み目ならば、図が違っても階数は同じになる。
 p 彩色の階数>p のとき、p 彩色可能という。そうでないとき p 彩色不可能という。

榑松4枚目


この絡み目を 2-bridge link の L([-2,N]) といいます。 結論は「2N-1 と p の最大公約数が t ならば、p 彩色の階数は tp となる。 t ≧ 2 のとき p 彩色可能となる。」

榑松5枚目


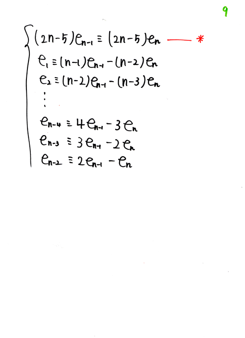
各 crossing に 1 〜N+2 まで番号をつけます。 同様に各 strand にも e1 〜 en まで番号をつけ、 できた連立方程式を解きます。n=N+2 と置きました。

榑松6枚目


2行目の (2,1) 成分の1を要にとり、1行−2行を行う。

榑松7枚目


計算を続けていくと、このような行列に変形できました。

榑松8枚目


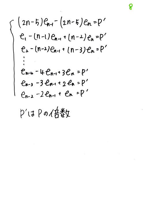
これを方程式に書きなおすと、この形になります。 p の倍数は何でも p' と書いています。 en-1 と en が決まれば、 e1 〜 en-2 は1つに決まる。 よって en-1 と en の組み合わせの数が分かれば階数が求められる。

榑松9枚目


mod p で計算すると、このような形に書くことができます。 この式を使って階数を求めていきます。 ここで1行目の式を * と置く。

榑松10枚目


(i) 2n-5 と p の最大公約数が1ならば、簡約公式より * の式は
en-1 ≡ en (mod p)
∴ p 彩色の階数は p
(ii) 2n-5 と p の最大公約数が t ならば、簡約公式より * の式は
en-1 ≡ en (mod p/t)

榑松11枚目


en =0 のとき、0 から p-1 の中でこの式を満たす en-1 は t 個あります。
en =0 のとき t 個, en =1 のとき t 個, ... en =p-1 のとき t 個と、t 個あるものが p 個あります。 よって t × p = tp
そして、e1 〜 en-2 は en-1 と en によって決まるので、 p 彩色の階数は tp です。 これで結論が証明されました。

林研究室トップへ戻る