卒業論文発表 「Solid torus の Q-fundamental surface」 竹井恵美

竹井0枚目


私はSolid torusを3つの4面体に分割し、そのQ-fundamental surfaceを求めました。

竹井1枚目


Solid torusとは円盤が輪っか状に積み重なったものです。 まず、このdiskに沿って切ると、円柱と同相になり、円柱は三角柱と同相になります。

竹井2枚目


三角柱は、この様に三つの四面体に分割できます。 4面体の辺が全てSolid torusの表面上にあるので、満たすべきQ-matching equationはありません。よって、非負整数ベクトル全てが解になります。 Fundamental surfaces は基本ベクトルたちに対応します。つまり、四角形 normal disk を1枚しか持たない normal surface です。

竹井3枚目


Q−disk の type は9種類だったので、9つのfundamental surface があります。Annulusが3つ、non-separating diskが6つになりました。

竹井4枚目


例として第1基本ベクトルに対応する fundamental surface を求めます。 square type の normal disk が1枚だけ配置されています。三角形normal disk を補っていき、normal surface を完成させます。 この辺(2つ目の図の赤い四角形の右側の辺)は、Soild torus の内部にあって、他の normal disk にも繋がっていません。そこで、この辺に貼り合わさるようにオレンジ色の 三角形normal diskを付け足します。次に、この辺(オレンジ色の三角形の斜辺)に三角形normal diskを継ぎ足します。

竹井5枚目


この緑の三角形を付け足しました。この図形はsolid torus の展開図なので、右側の三角形の面と左側の三角形の面は元々貼り合わさります。左の面のこの辺(赤い四角形の左側の辺)と右の面のこの辺(緑色の三角形の実線)は貼り合わさります。これでnormal surfaceが完成しました。 この長方形を三角柱の中から抜き出し、同じ辺同士を貼り合わせるとannulusになります。 このannulusはこの辺(上の横線)を取り囲んでいます。

竹井6枚目


同様にして、残りのfundamental surfaceを調べました。 残りの2枚のannulusたちはこの図のようになります。

竹井7枚目


また、non-separating diskにはこのような曲面がありました。 描いていない2枚はこれ(S2)とこれ(S3)の180度回転したものです。

竹井8枚目


S,S1,S2をnormal surfaceとし、SのQ-coordinatesがS1とS2のQ-coordinatesの足し算になっているとき、曲面のオイラー標数も、足し算になるかどうかを調べました。 因みに、Q-coordinateでなく、三角形normal diskの枚数も成分に持つベクトルを考える場合にはこの等式が成り立ちます。

竹井9枚目


このsolid torusの四面体分割に対しては、Sのオイラー標数の方が小さくなる例がありました。

竹井10枚目


 この solid torus の四面体分割に対して、fundamental surface は既に求めてありました。 今回Q-fundamental surface を調べたのですが、その中には現れなかったfundamental surfaceについて考えます。
 例として、fundamental surface SA について説明します。 まず、SA の Q-disk は X16 ,  X26 ,  X36 の 3 枚で、オイラー標数は1です。Q-fundamental surface でただ1枚のQ-diskが X16 ,  X26 ,  X36 である曲面を考えます。 X36 のdiskが入っているQ-fundamental surface のオイラー標数は 1 です。

竹井11枚目


X16 のdiskが入っているQ-fundamental surfaceのオイラー標数は1です。 X26 のdiskが入っているQ-fundamental surfaceのオイラー標数は0 です。 SA のQ-coordinates は SB ,  SC ,  SD のQ-coordinates の足し算になっていますが、 このとき、SA のオイラー標数と SB ,  SC ,  SD のオイラー標数の和を比べると

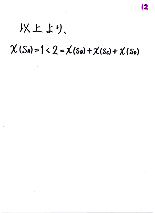
竹井12枚目


 χ(SA)=1<2= χ(SB)+χ(SC)+χ(SD) となり、和のベクトルの曲面は分解されたベクトルよりもオイラー標数が小さくなりました。
 他の Q-fundamentalでないfundamental surfaceについても調べましたが、全て和のベクトルの曲面の方がオイラー標数が小さくなりました。

林研究室トップへ戻る