卒業研究発表「cowrithe が正の無限大に発散する自明結び目の diagrams の無限列」澤田実

林注:この研究を発展させたものが専門雑誌に掲載されました。
Chuichiro Hayashi, Miwa Hayashi, Minori Sawada and Sayaka Yamada
"Minimal unknotting sequences of Reidemeister moves containing unmatched RII moves."
Journal of Knot Theory and its Ramifications 21 No.10, (2012), 1250099-1 -- 1250099-13.
澤田0枚目


澤田実です。
私は「cowritheが正の無限大に発散する自明結び目のdiagramsの無限列」について研究しました。

澤田1枚目


自明結び目とは図1のように、交差点のない図で表される結び目です。空間内で連続的に動かして、交差点なしにできるものも自明結び目です。

澤田2枚目


この図は塚本unknotです。従来見つかっているcowritheが正になる自明結び目の図の唯一の例で、cowritheは+1です。

澤田3枚目


cowritheが正の自明結び目の図を新たに3つ見つけました。さらにこれを一般のDnに拡張できると予想しました。

澤田4枚目


Dnのdiagramは、真ん中がn―1角形、その周りに3角形がn−1個、さらにその周りにn−1個の4角形がn−3重に取り囲み、さらにその周りに3角形がn−1個あって、一番外側はn−1角形になると予想しました。
また交差点の上下は、@のわっかの上にA、その上にB、その上にCのわっかがくるように決めます。
cowritheはこの式になると予想します。

澤田5枚目


generic plane curve又はspherical curveとは、平面上又は球面上のなめらかな向き付き閉曲線で、自己交差は有限個の交差的な2重点のみのもののことです。この図はgeneric plane curveの例です。

澤田6枚目


direct self-tangency pointとは、向きが揃った接点のことです。 inverse self-tangency pointとは、向きが逆の接点のことです。 transversal triple pointとは3重点のことです。

澤田7枚目


perestroikaとは、generic curveの局所的な変形で、direct self-tangency perestroikaとは、direct self-tangency pointを間にはさむ変形のことです。inverseも同様です。いずれもdouble pointが増える方向への変形をpositive、減る方向をnegativeと呼びます。
triple point perestroikaとは、triple pointを間にはさむ変形のことです。符号については次で説明します。
変形前後の三角形に注目します。

澤田8枚目


@ まずdiagramに、どこでもいいので始点をとります。
A 次に、始点から向きに沿って進み、三角形の辺に到達した順に番号を1,2,3とつけます。
B そして1,2,3の順に、三角形内部に丸矢印をかきます。
C diagramの向きと丸矢印の向きが揃えば○、逆ならば×をつけます。
○の数をqとおくと、三角形のsignは(−1)qと定めます。この例では○は1つなので(−1)1で、signは−1となります。
triple point perestroikaは三角形のsignが−1から+1に変化するときpositive, その逆をnegative と呼びます。

澤田9枚目


generic plane curve のArnold invariant J、J、Stを定義します。 各ペレストロイカでの値の変化を定めます。
directなself-tangency perestroikaでは、Jはpositiveなペレストロイカで+2変化します。J、Stは変わりません。
inverseなself-tangency perestroikaでは、Jはpositiveな変形で−2変化します。J, Stは変わりません。
triple-point perestroikaでは、Stはpositiveな変形で+1変化します。J、Jは変わりません。
さらに初期値を定めます。

澤田10枚目


Kiを図のplane curveとします。各Kiに対してこのように定めます。向きが逆でも同じ値です。
このあと山田さんがこれで矛盾がないことを示します。

澤田11枚目


J+2St,とJ+2Stはgeneric spherical curveのinvariantであることが知られています。

澤田12枚目


HassとNowikの指摘です。Dをknot diagram,、DバーをDの交差点の上下をつぶしたspherical curveとします。
cowrithe = (-1/2)(J+ + 2St) + 4 C2 が成り立ちます。但し、自明結び目のとき最後の項は0です。

澤田13枚目


KをDバーに変形するときのペレストロイカの回数を調べました。nが4から7のとき、表のようになります。
一般のDバーのとき、この式の回数になると予想を立てました。

澤田14枚目


KのDバーへの変形変形のn=5の例を紹介します。
(1) わっかに番号をつけます。
(2) @のわっかに@以外のすべての輪っかを交わらせます。
(3) @のわっかの中で、AのわっかにB、Cを交わらせます。
(4) Aの中で、B、Cを交わらせます。 ここまではinverse self-tangency perestroikaです。
それからtriple-point perestroikaを4回適用して完成です。

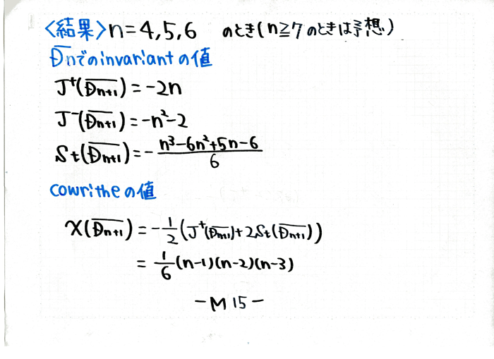
澤田15枚目


perestroikaの回数からJ, J, Stの値とcowritheの値が求まります。

澤田16枚目


越井さんが紹介してくれたReidemeister変形とcowritheの定理より、knot diagram Dを交差点なしにするには、
Reidemeister変形は少なくとも |x(D)| 回必要だと分かります。
この式に当てはめて考えると、D〜Dのときに必要なReidemeister変形の回数はこのようになります。
これを一般化するとこのようになると予想されます。

2010年度林研究室卒業研究発表トップへ戻る