Research

研究

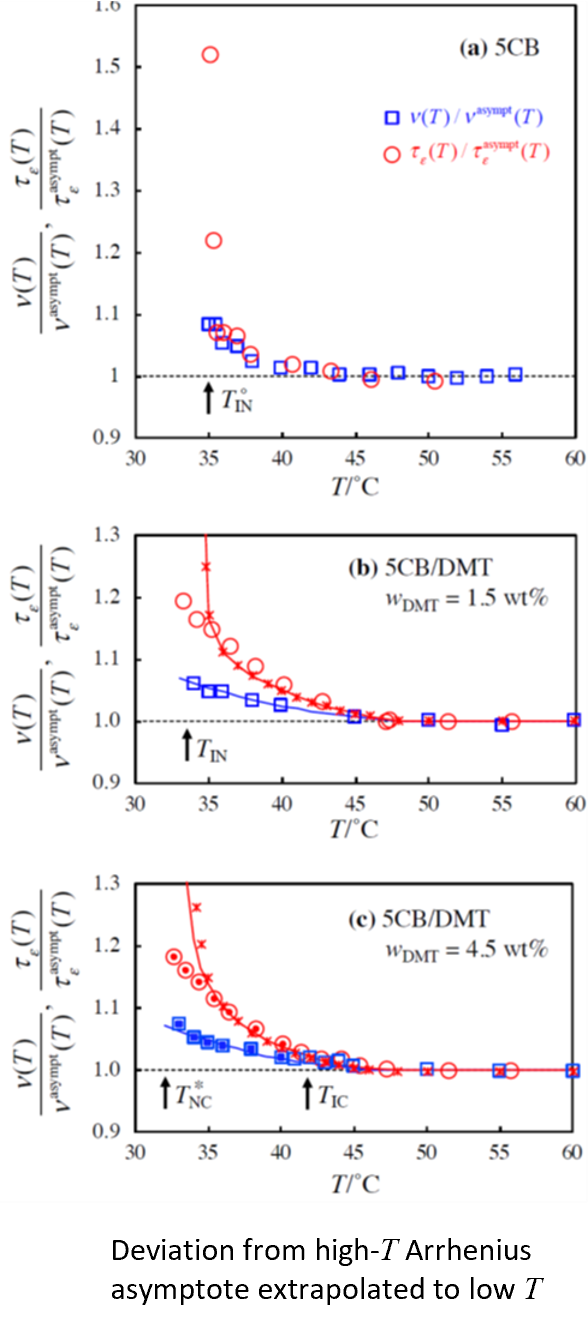
Research Topic (1) Phase equilibrium and dynamics of 5CB/DMT mixture

Phase behavior and dynamics were examined for mixture of 5CB with dilute dimethyl terephthalate (DMT). In this mixture, there are two types of phase separation; liquid (nematic) - liquid (isotropic) and liquid (nematic/isotropic) – solid (DMT crystalline) phase separation. This phase behavior was well described by a simple model of free energy contributed from Flory-Huggins mixing entropy, Landau-de Gennes nematic free energy, and the crystalline chemical potential. In this model, the concentration and orientation of 5CB served as order parameters contributing to the free energy. Fluctuation of these parameters at equilibrium results in correlation of physical properties reflecting those parameters, i.e., the kinematic viscosity and dielectric relaxation time.

(For more detail, please see Soft Matter, 21, 5902 (2025))

This work was supported by Grants-in-Aid for Scientific Research(KAKENHI), Scientific Research (c)(23K03346).

Research Topic (2) Phase equilibrium and dielectric relaxation in 5CB/DMP mixture

Phase equilibrium and dynamics were examined for a mixture of 5CB with dilute dimethyl phthalate (DMP; wDMP = 3.1 wt%). The mixture was in an isotropic one-phase state at temperatures T above a critical temperature TIN (~ 27.0˚C). This TIN was described well by a simple model of free energy contributed from a Flory-Huggins type mixing entropy and a Landau-de Gennes type nematic interaction, suggesting that the phase separation in the mixture was triggered by the nematic transition of 5CB and thus the orientation fluctuation of 5CB molecules is coupled with the composition fluctuation. This coupling affected the dielectric relaxation time TIN reflecting the orientation fluctuation of 5CB molecules: In a high-T asymptote (T > TIN +10˚C), τε of the mixture was close to that of pure 5CB, which suggested no significant effect of the above coupling on the 5CB dynamics in the mixture at such high T. However, in a significantly wide range of T between TIN and TIN +10˚C where the mixture was still in the isotropic one-phase state, τε increased on cooling much more significantly compared to τε in that high-T asymptote. The kinematic viscosity ν of the mixture exhibited a qualitatively similar increase in the same range of T, but this increase was weaker than that of TIN. This difference between τε and ν is discussed on site in relation to the coupling of the orientation and the composition fluctuations.

(For more detail, please see Soft Matter, 17, 6259 (2021) & J. Soc. Rheol. Japan, 48 (4), 199-206 (2020))

This work was supported by the International Collaborative Research Program of Institute for Chemical Research, Kyoto University (grant #2022-92, #2021-118, #2020-91).

Research Topic (3) Plasmonic Heating

A large temperature gradient is useful for concentrating temperature-sensitive molecules having non-zero Soret coefficients. Aiming at such molecular manipulation as a final goal, this study analyzed the heat transfer equation for two types heat sources, two-dimensional lattice of metal domains and a single-spot metal domain, both being able to undergo plasmon resonance and generate heat. It turned out that the plasmonic heating from the single-spot domain can generate only a monotonic temperature profile with a single maximum associated by a gradual decay of radial gradient of temperature. In contrast, with an adequate choice of the boundary conditions, the lattice of the metal domains was found to give a profile with a large, periodic temperature gradient that is useful for the manipulation of temperature-sensitive molecules, in particular those favoring low temperatures. A preliminary experiment utilizing a lattice of silver domains confirmed creation of a large, roughly periodic temperature gradient of the order of 10^3 K/mm (being in harmony with the heat transfer analysis), which encourages a further study of temperature gradient controlled by the plasmonic heating and of the molecular manipulation utilizing this gradient.

(For more detail, please see International Journal of Thermal Sciences, 118, 247 (2017))

This work was supported by Grants-in-Aid for Scientific Research(KAKENHI), Scientific Research (c)(18K03570).

Copyright(c) 2022 Shimada Laboratory, All Rights Reserved. Design by http://f-tpl.com